ОТВЕТ на задание № Упр.19 Учебник по Математике 1 класс Рудницкая Начальная школа XXI века
Решебник
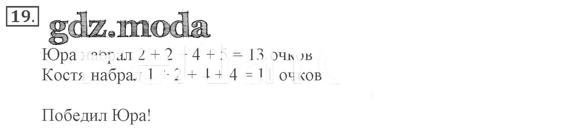
часть 2 / сложение и вычитание. Скобки (стр. 124–128) / Упр.19
Все ГДЗ по Математике 1 класс Начальная школа XXI века