Классы
1 класс
2 класс
3 класс
4 класс
5 класс
6 класс
7 класс
8 класс
9 класс
10 класс
11 класс
Предметы
Алгебра
Английский язык
Белорусский язык
Биология
География
Геометрия
Естествознание
Информатика
Искусство
История
Кубановедение
Литература
Математика
Музыка
Немецкий язык
ОБЖ
Обществознание
Окружающий мир
Основы здоровья
Природоведение
Русский язык
Технология
Украинский язык
Физика
Французский язык
Химия
Человек и мир
Я исследую мир
ГДЗ
1 класс
Математика
учебник Дорофеев
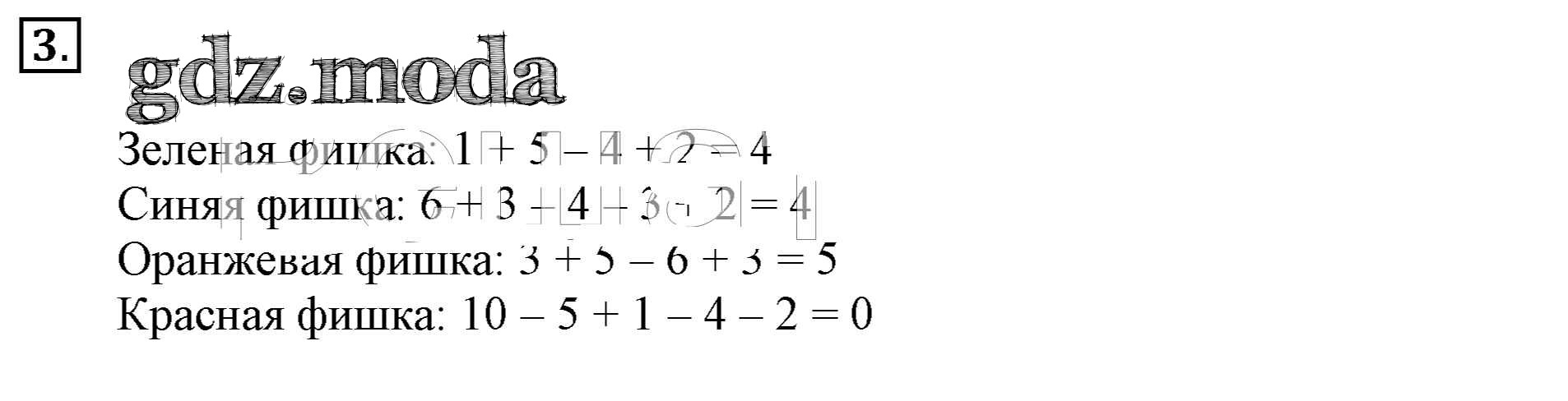
105
ОТВЕТ на задание № 105 Учебник по Математике 1 класс Дорофеев Перспектива
Показать содержание
← Предыдущее
Следующее →
Решебник №1
часть 1. страница № / 105
Решебник №2
часть 1. страница № / 105
Показать содержание
← Предыдущее
Следующее →
Все ГДЗ по
Математике 1 класс Перспектива
ГДЗ решение к заданию № 105 Математика 1 класс Дорофеев Г.В. Просвещение 2015 Часть 1, Часть 2 ФГОС бесплатно на гдз.мода!