Классы
1 класс
2 класс
3 класс
4 класс
5 класс
6 класс
7 класс
8 класс
9 класс
10 класс
11 класс
Предметы
Алгебра
Английский язык
Белорусский язык
Биология
География
Геометрия
Естествознание
Информатика
Искусство
История
Кубановедение
Литература
Математика
Музыка
Немецкий язык
ОБЖ
Обществознание
Окружающий мир
Основы здоровья
Природоведение
Русский язык
Технология
Украинский язык
Физика
Французский язык
Химия
Человек и мир
Я исследую мир
ГДЗ
1 класс
Математика
учебник Дорофеев
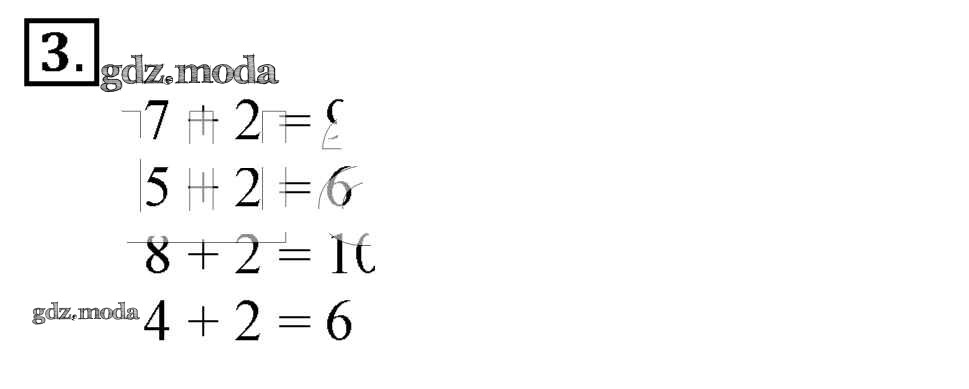
7
ОТВЕТ на задание № 7 Учебник по Математике 1 класс Дорофеев Перспектива
Показать содержание
← Предыдущее
Следующее →
Решебник №1
часть 2. страница № / 7
Решебник №2
часть 2. страница № / 7
Показать содержание
← Предыдущее
Следующее →
Все ГДЗ по
Математике 1 класс Перспектива
ГДЗ решение к заданию № 7 Математика 1 класс Дорофеев Г.В. Просвещение 2015 Часть 1, Часть 2 ФГОС бесплатно на гдз.мода!