Классы
1 класс
2 класс
3 класс
4 класс
5 класс
6 класс
7 класс
8 класс
9 класс
10 класс
11 класс
Предметы
Алгебра
Английский язык
Белорусский язык
Биология
География
Геометрия
Естествознание
Информатика
Искусство
История
Кубановедение
Литература
Математика
Музыка
Немецкий язык
ОБЖ
Обществознание
Окружающий мир
Основы здоровья
Природоведение
Русский язык
Технология
Украинский язык
Физика
Французский язык
Химия
Человек и мир
Я исследую мир
ГДЗ
10 класс
Геометрия
Мерзляк
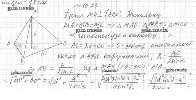
10.24
ОТВЕТ на задание № 10.24 Учебник по Геометрии 10 класс Мерзляк Алгоритм успеха Базовый уровень
Показать содержание
← Предыдущее
Следующее →
Решебник
§10 / 10.24
Показать содержание
← Предыдущее
Следующее →
Все ГДЗ по
Геометрии 10 класс Алгоритм успеха
ГДЗ решение к заданию № 10.24 Геометрия 10 класс Мерзляк А.Г. Вентана-граф 2017 Базовый уровень ФГОС бесплатно на гдз.мода!