Классы
1 класс
2 класс
3 класс
4 класс
5 класс
6 класс
7 класс
8 класс
9 класс
10 класс
11 класс
Предметы
Алгебра
Английский язык
Белорусский язык
Биология
География
Геометрия
Естествознание
Информатика
Искусство
История
Кубановедение
Литература
Математика
Музыка
Немецкий язык
ОБЖ
Обществознание
Окружающий мир
Основы здоровья
Природоведение
Русский язык
Технология
Украинский язык
Физика
Французский язык
Химия
Человек и мир
Я исследую мир
ГДЗ
10 класс
Информатика
Семакин
7
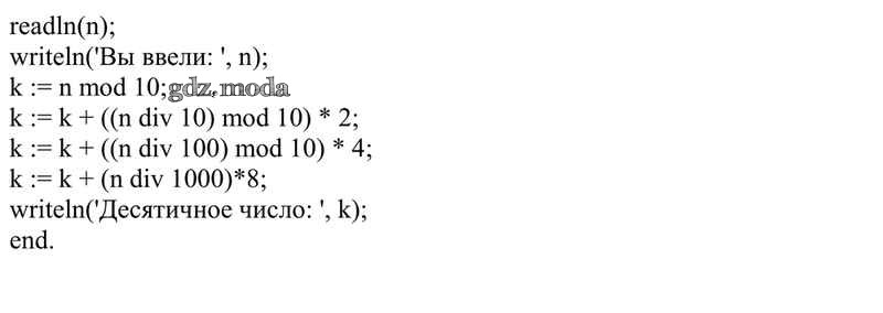
ОТВЕТ на задание № 7 Учебник по Информатике 10 класс Семакин Базовый уровень
Показать содержание
← Предыдущее
Следующее →
Решебник
§17 / 7
Показать содержание
← Предыдущее
Следующее →
ГДЗ решение к заданию № 7 Информатика 10 класс Семакин И.Г. Бином 2017 Базовый уровень ФГОС бесплатно на гдз.мода!