Классы
1 класс
2 класс
3 класс
4 класс
5 класс
6 класс
7 класс
8 класс
9 класс
10 класс
11 класс
Предметы
Алгебра
Английский язык
Белорусский язык
Биология
География
Геометрия
Естествознание
Информатика
Искусство
История
Кубановедение
Литература
Математика
Музыка
Немецкий язык
ОБЖ
Обществознание
Окружающий мир
Основы здоровья
Природоведение
Русский язык
Технология
Украинский язык
Физика
Французский язык
Химия
Человек и мир
Я исследую мир
ГДЗ
10 класс
Химия
Габриелян
10
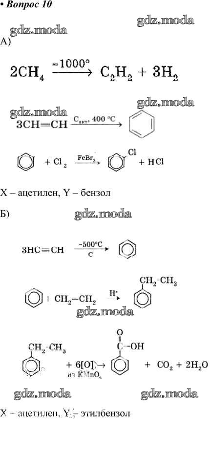
ОТВЕТ на задание № 10 Учебник по Химии 10 класс Габриелян Вертикаль Углубленный уровень
Показать содержание
← Предыдущее
Следующее →
Решебник
§15 / 10
Показать содержание
← Предыдущее
Следующее →
Все ГДЗ по
Химии 10 класс Вертикаль
ГДЗ решение к заданию № 10 Химия 10 класс Габриелян О.С. Дрофа 2017 Углубленный уровень ФГОС бесплатно на гдз.мода!