Классы
1 класс
2 класс
3 класс
4 класс
5 класс
6 класс
7 класс
8 класс
9 класс
10 класс
11 класс
Предметы
Алгебра
Английский язык
Белорусский язык
Биология
География
Геометрия
Естествознание
Информатика
Искусство
История
Кубановедение
Литература
Математика
Музыка
Немецкий язык
ОБЖ
Обществознание
Окружающий мир
Основы здоровья
Природоведение
Русский язык
Технология
Украинский язык
Физика
Французский язык
Химия
Человек и мир
Я исследую мир
ГДЗ
11 класс
Алгебра
Базовый и углубленный уровни Алимов
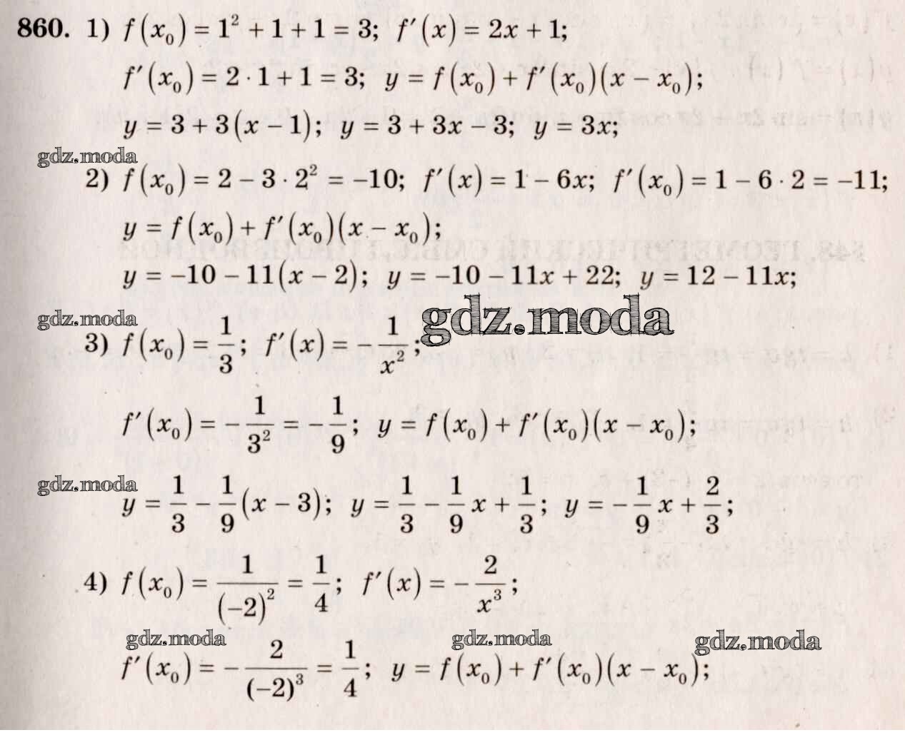
860
ОТВЕТ на задание № 860 Учебник по Алгебре 10-11 класс Алимов Базовый и углубленный уровень
Показать содержание
← Предыдущее
Следующее →
Решебник №2
упражнение № / 860
Показать содержание
← Предыдущее
Следующее →
ГДЗ решение к заданию № 860 Алгебра и начала математического анализа 10-11 класс Базовый и углубленный уровни Алимов Ш.А. Просвещение 2015 Базовый и углубленный уровень ФГОС бесплатно на гдз.мода!