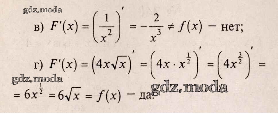
ОТВЕТ на задание № 331 Учебник по Алгебре 10-11 класс Колмогоров

Решебник №1

упражнение / 331

Решебник №2

упражнение / 331

Решебник №3

упражнение / 331

ГДЗ решение к заданию № 331 Алгебра и начала математического анализа 10-11 класс Колмогоров А.Н. Просвещение 2008 ФГОС бесплатно на гдз.мода!