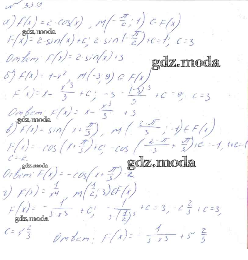
ОТВЕТ на задание № 339 Учебник по Алгебре 10-11 класс Колмогоров
Решебник №1
упражнение / 339
 
                                Решебник №2
упражнение / 339
 
                                 
                                Решебник №3
упражнение / 339
