ОТВЕТ на задание № 389 Учебник по Алгебре 10-11 класс Колмогоров

Решебник №1

упражнение / 389

Решебник №2

упражнение / 389

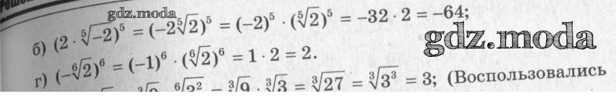
Решебник №3

упражнение / 389

Решебник №4

упражнение / 389

ГДЗ решение к заданию № 389 Алгебра и начала математического анализа 10-11 класс Колмогоров А.Н. Просвещение 2008 ФГОС бесплатно на гдз.мода!