ОТВЕТ на задание № 425 Учебник по Алгебре 10-11 класс Колмогоров
Решебник №1
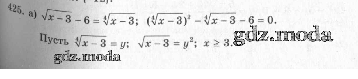
упражнение / 425
 
                                Решебник №2
упражнение / 425
 
                                 
                                Решебник №3
упражнение / 425
 
                                