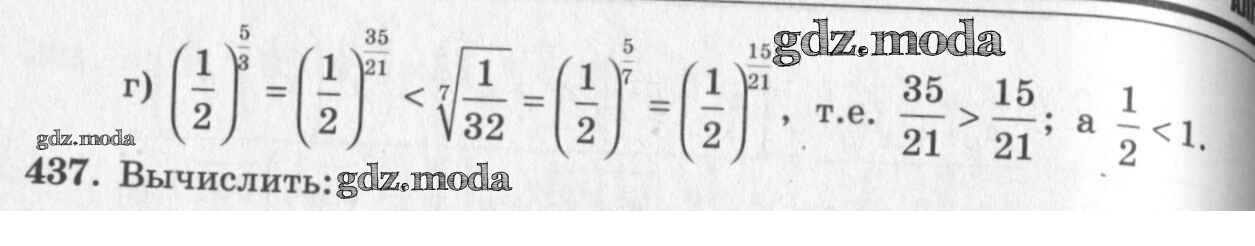
ОТВЕТ на задание № 436 Учебник по Алгебре 10-11 класс Колмогоров

Решебник №1

упражнение / 436

Решебник №2

упражнение / 436

Решебник №3

упражнение / 436

Решебник №4

упражнение / 436

ГДЗ решение к заданию № 436 Алгебра и начала математического анализа 10-11 класс Колмогоров А.Н. Просвещение 2008 ФГОС бесплатно на гдз.мода!