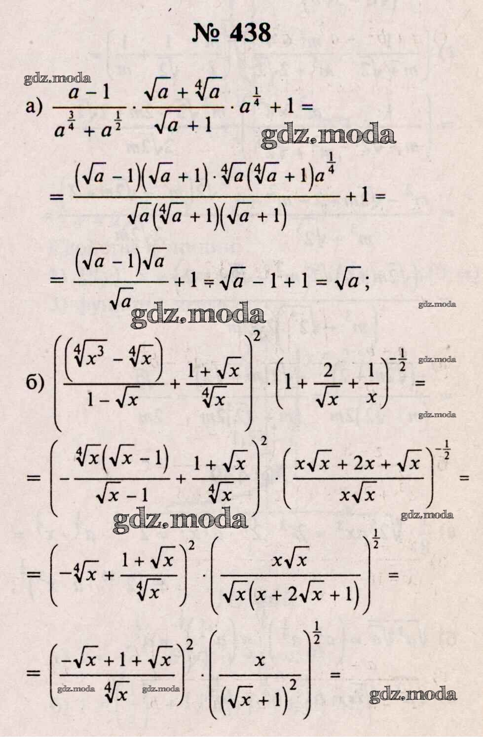
ОТВЕТ на задание № 438 Учебник по Алгебре 10-11 класс Колмогоров

Решебник №1

упражнение / 438

Решебник №2

упражнение / 438

Решебник №3

упражнение / 438

Решебник №4

упражнение / 438

ГДЗ решение к заданию № 438 Алгебра и начала математического анализа 10-11 класс Колмогоров А.Н. Просвещение 2008 ФГОС бесплатно на гдз.мода!