Классы
1 класс
2 класс
3 класс
4 класс
5 класс
6 класс
7 класс
8 класс
9 класс
10 класс
11 класс
Предметы
Алгебра
Английский язык
Белорусский язык
Биология
География
Геометрия
Естествознание
Информатика
Искусство
История
Кубановедение
Литература
Математика
Музыка
Немецкий язык
ОБЖ
Обществознание
Окружающий мир
Основы здоровья
Природоведение
Русский язык
Технология
Украинский язык
Физика
Французский язык
Химия
Человек и мир
Я исследую мир
ГДЗ
11 класс
Алгебра
Колмогоров учебник
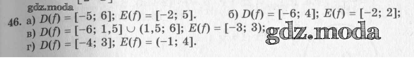
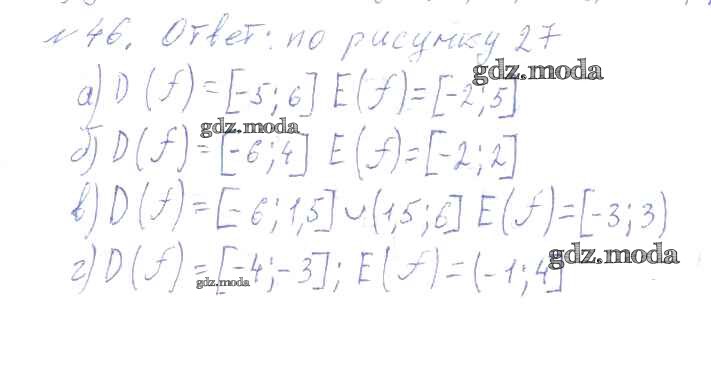
46
ОТВЕТ на задание № 46 Учебник по Алгебре 10-11 класс Колмогоров
Показать содержание
← Предыдущее
Следующее →
Решебник №1
упражнение / 46
Решебник №2
упражнение / 46
Показать содержание
← Предыдущее
Следующее →
ГДЗ решение к заданию № 46 Алгебра и начала математического анализа 10-11 класс Колмогоров А.Н. Просвещение 2008 ФГОС бесплатно на гдз.мода!