Классы
1 класс
2 класс
3 класс
4 класс
5 класс
6 класс
7 класс
8 класс
9 класс
10 класс
11 класс
Предметы
Алгебра
Английский язык
Белорусский язык
Биология
География
Геометрия
Естествознание
Информатика
Искусство
История
Кубановедение
Литература
Математика
Музыка
Немецкий язык
ОБЖ
Обществознание
Окружающий мир
Основы здоровья
Природоведение
Русский язык
Технология
Украинский язык
Физика
Французский язык
Химия
Человек и мир
Я исследую мир
ГДЗ
11 класс
Алгебра
контрольные работы Глизбург
вариант-2
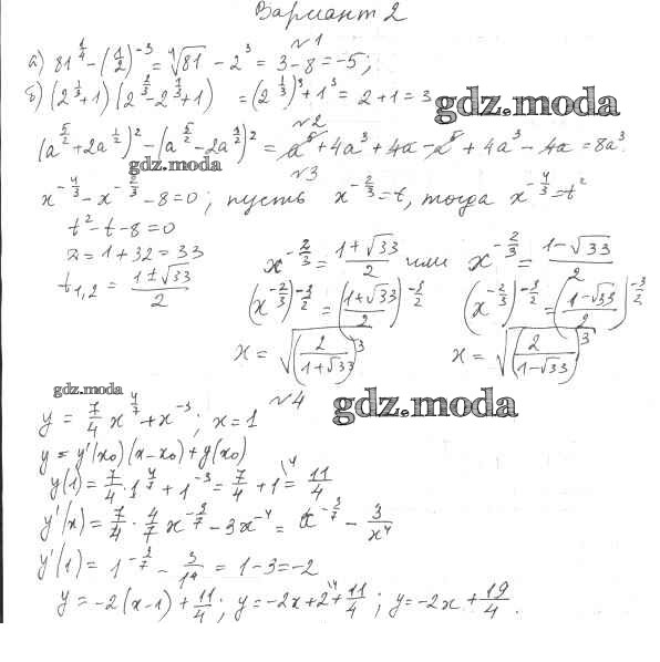
ОТВЕТ на задание № Вариант-2 Контрольные работы по Алгебре 11 класс Глизбург Базовый и углубленный уровень
Показать содержание
← Предыдущее
Следующее →
Решебник
кр-3 / вариант-2
Показать содержание
← Предыдущее
Следующее →
ГДЗ решение к заданию № Вариант-2 Алгебра 11 класс контрольные работы Базовый и Углубленный уровень Глизбург В.И. Мнемозина 2016 Базовый и углубленный уровень ФГОС бесплатно на гдз.мода!