Классы
1 класс
2 класс
3 класс
4 класс
5 класс
6 класс
7 класс
8 класс
9 класс
10 класс
11 класс
Предметы
Алгебра
Английский язык
Белорусский язык
Биология
География
Геометрия
Естествознание
Информатика
Искусство
История
Кубановедение
Литература
Математика
Музыка
Немецкий язык
ОБЖ
Обществознание
Окружающий мир
Основы здоровья
Природоведение
Русский язык
Технология
Украинский язык
Физика
Французский язык
Химия
Человек и мир
Я исследую мир
ГДЗ
11 класс
Алгебра
Кузнецова
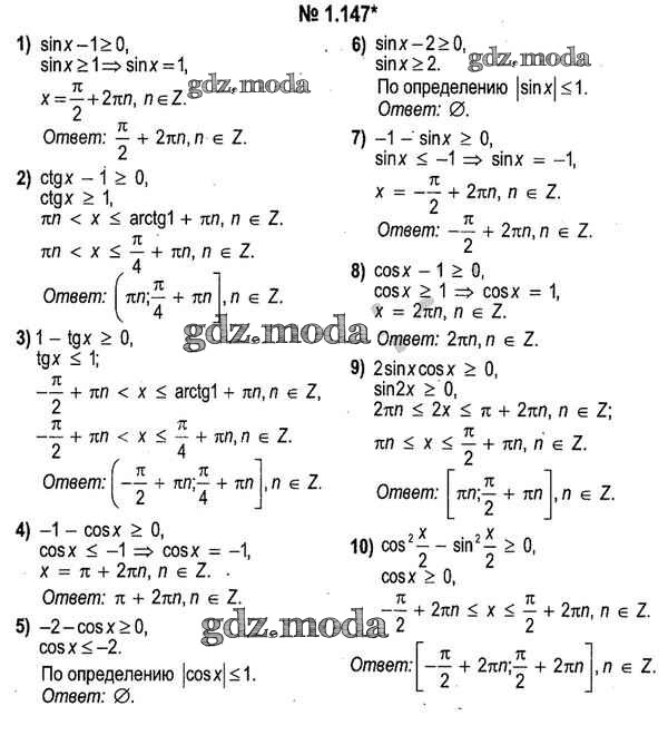
1.147
ОТВЕТ на задание № 1.147 Учебник по Алгебре 11 класс Кузнецова
Показать содержание
← Предыдущее
Следующее →
Решебник
глава 1 / 1.147
Показать содержание
← Предыдущее
Следующее →
ГДЗ решение к заданию № 1.147 Алгебра 11 класс Кузнецова Е.П. Народная асвета 2015 бесплатно на гдз.мода!