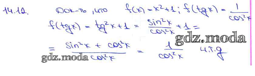
ОТВЕТ на задание № 14. 12 Задачник по Алгебре 10-11 класс Мордкович Базовый уровень

Решебник №1

глава 2 / §14 / 14. 12

Решебник №2

глава 2 / §14 / 14. 12

Решебник №3

глава 2 / §14 / 14. 12

ГДЗ решение к заданию № 14. 12 Алгебра 10-11 класс Задачник Базовый уровень 2 часть Мордкович А.Г. Мнемозина 2015 Часть 2 Базовый уровень ФГОС бесплатно на гдз.мода!