ОТВЕТ на задание № 11. 2 Задачник по Алгебре 10-11 класс Мордкович Базовый уровень

Решебник №1

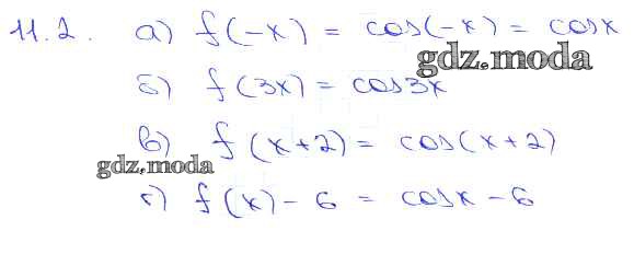
глава 2 / §11 / 11. 2

Решебник №2

глава 2 / §11 / 11. 2

Решебник №3

глава 2 / §11 / 11. 2

ГДЗ решение к заданию № 11. 2 Алгебра 10-11 класс Задачник Базовый уровень 2 часть Мордкович А.Г. Мнемозина 2015 Часть 2 Базовый уровень ФГОС бесплатно на гдз.мода!