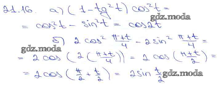
ОТВЕТ на задание № 21. 16 Задачник по Алгебре 10-11 класс Мордкович Базовый уровень

Решебник №1

глава 4 / §21 / 21. 16

Решебник №2

глава 4 / §21 / 21. 16

Решебник №3

глава 4 / §21 / 21. 16

ГДЗ решение к заданию № 21. 16 Алгебра 10-11 класс Задачник Базовый уровень 2 часть Мордкович А.Г. Мнемозина 2015 Часть 2 Базовый уровень ФГОС бесплатно на гдз.мода!