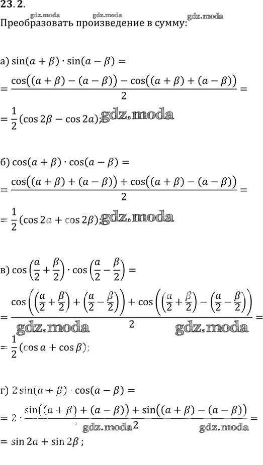
ОТВЕТ на задание № 23. 2 Задачник по Алгебре 10-11 класс Мордкович Базовый уровень

Решебник №1

глава 4 / §23 / 23. 2

Решебник №2

глава 4 / §23 / 23. 2

Решебник №3

глава 4 / §23 / 23. 2

ГДЗ решение к заданию № 23. 2 Алгебра 10-11 класс Задачник Базовый уровень 2 часть Мордкович А.Г. Мнемозина 2015 Часть 2 Базовый уровень ФГОС бесплатно на гдз.мода!