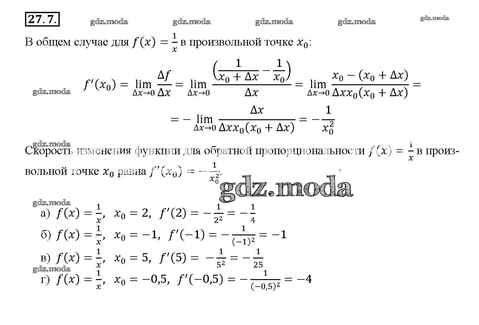
ОТВЕТ на задание № 27. 7 Задачник по Алгебре 10-11 класс Мордкович Базовый уровень

Решебник №1

глава 5 / §27 / 27. 7

Решебник №2

глава 5 / §27 / 27. 7

Решебник №3

глава 5 / §27 / 27. 7

ГДЗ решение к заданию № 27. 7 Алгебра 10-11 класс Задачник Базовый уровень 2 часть Мордкович А.Г. Мнемозина 2015 Часть 2 Базовый уровень ФГОС бесплатно на гдз.мода!