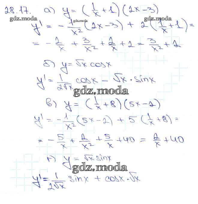
ОТВЕТ на задание № 28. 17 Задачник по Алгебре 10-11 класс Мордкович Базовый уровень

Решебник №1

глава 5 / §28 / 28. 17

Решебник №2

глава 5 / §28 / 28. 17

Решебник №3

глава 5 / §28 / 28. 17

ГДЗ решение к заданию № 28. 17 Алгебра 10-11 класс Задачник Базовый уровень 2 часть Мордкович А.Г. Мнемозина 2015 Часть 2 Базовый уровень ФГОС бесплатно на гдз.мода!