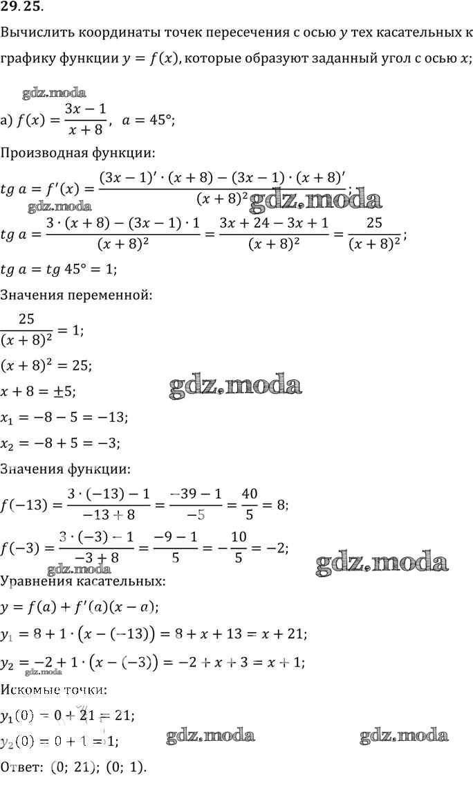
ОТВЕТ на задание № 29. 25 Задачник по Алгебре 10-11 класс Мордкович Базовый уровень

Решебник №1

глава 5 / §29 / 29. 25

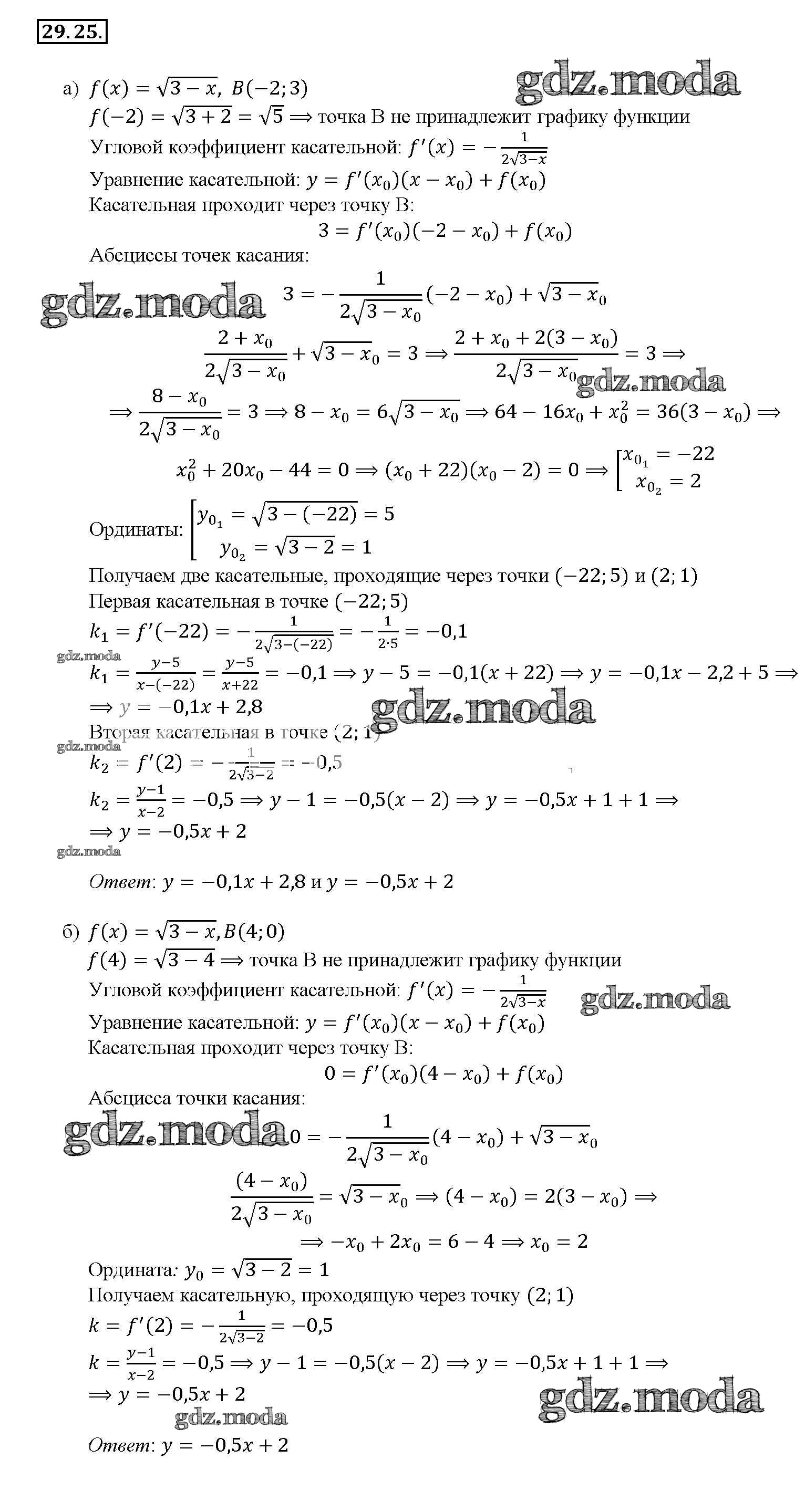
Решебник №2

глава 5 / §29 / 29. 25

Решебник №3

глава 5 / §29 / 29. 25

ГДЗ решение к заданию № 29. 25 Алгебра 10-11 класс Задачник Базовый уровень 2 часть Мордкович А.Г. Мнемозина 2015 Часть 2 Базовый уровень ФГОС бесплатно на гдз.мода!