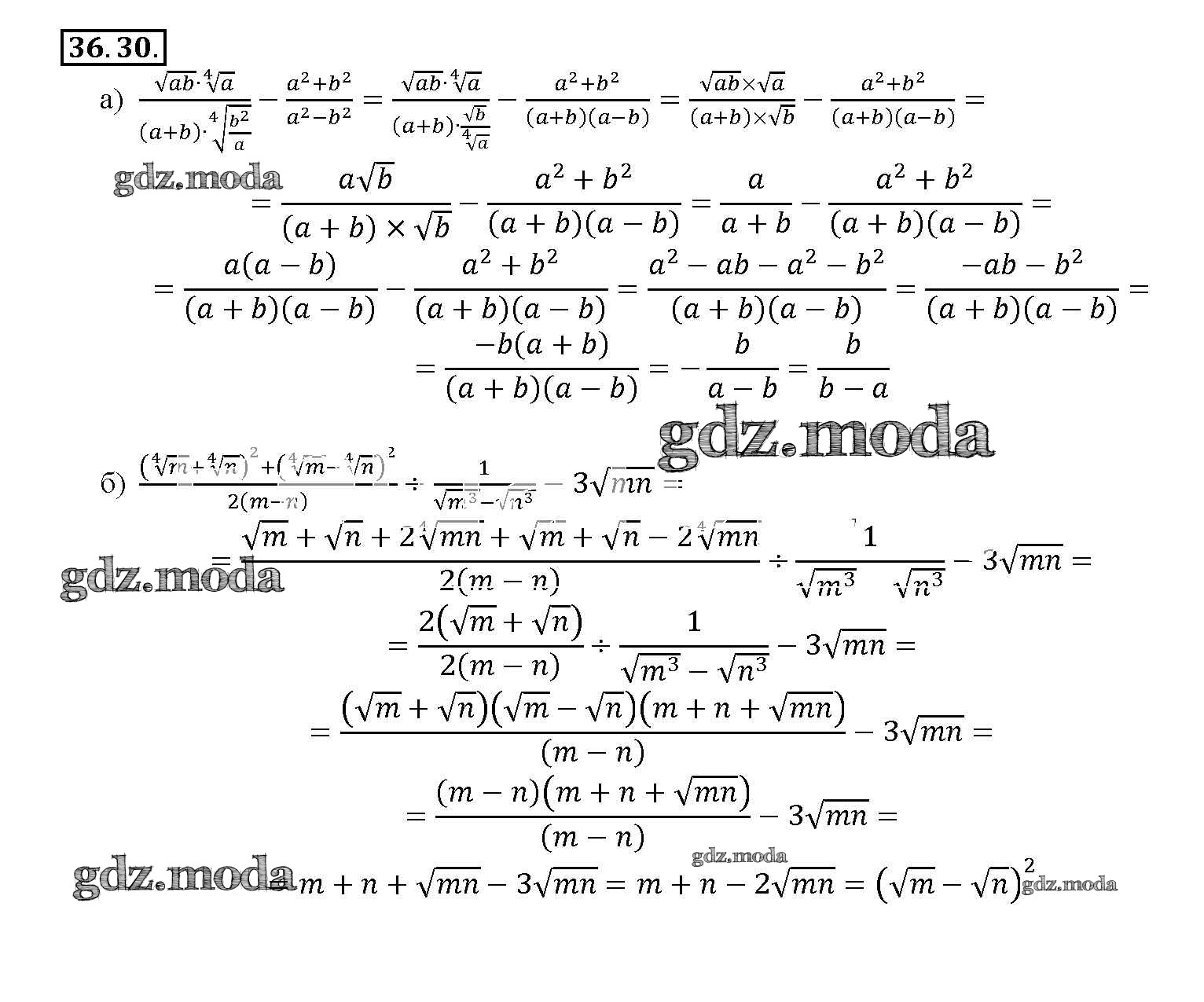
ОТВЕТ на задание № 36. 30 Задачник по Алгебре 10-11 класс Мордкович Базовый уровень

Решебник №1

глава 6 / §36 / 36. 30

Решебник №2

глава 6 / §36 / 36. 30

Решебник №3

глава 6 / §36 / 36. 30

ГДЗ решение к заданию № 36. 30 Алгебра 10-11 класс Задачник Базовый уровень 2 часть Мордкович А.Г. Мнемозина 2015 Часть 2 Базовый уровень ФГОС бесплатно на гдз.мода!