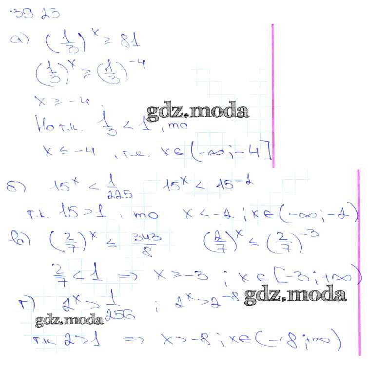
ОТВЕТ на задание № 39. 23 Задачник по Алгебре 10-11 класс Мордкович Базовый уровень

Решебник №1

глава 7 / §39 / 39. 23

Решебник №2

глава 7 / §39 / 39. 23

Решебник №3

глава 7 / §39 / 39. 23

ГДЗ решение к заданию № 39. 23 Алгебра 10-11 класс Задачник Базовый уровень 2 часть Мордкович А.Г. Мнемозина 2015 Часть 2 Базовый уровень ФГОС бесплатно на гдз.мода!