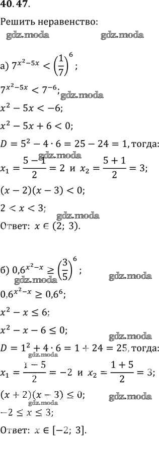
ОТВЕТ на задание № 40. 47 Задачник по Алгебре 10-11 класс Мордкович Базовый уровень

Решебник №1

глава 7 / §40 / 40. 47

Решебник №2

глава 7 / §40 / 40. 47

Решебник №3

глава 7 / §40 / 40. 47

ГДЗ решение к заданию № 40. 47 Алгебра 10-11 класс Задачник Базовый уровень 2 часть Мордкович А.Г. Мнемозина 2015 Часть 2 Базовый уровень ФГОС бесплатно на гдз.мода!