Классы
1 класс
2 класс
3 класс
4 класс
5 класс
6 класс
7 класс
8 класс
9 класс
10 класс
11 класс
Предметы
Алгебра
Английский язык
Белорусский язык
Биология
География
Геометрия
Естествознание
Информатика
Искусство
История
Кубановедение
Литература
Математика
Музыка
Немецкий язык
ОБЖ
Обществознание
Окружающий мир
Основы здоровья
Природоведение
Русский язык
Технология
Украинский язык
Физика
Французский язык
Химия
Человек и мир
Я исследую мир
ГДЗ
11 класс
Алгебра
Колягин
755
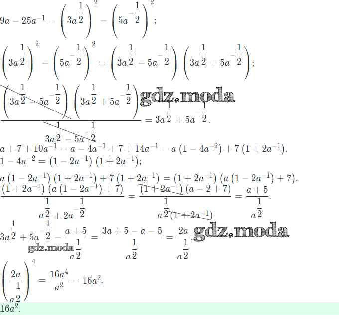
ОТВЕТ на задание № 755 Учебник по Алгебре 11 класс Колягин Базовый и углубленный уровень
Показать содержание
← Предыдущее
Следующее →
Решебник
упражнение / 755
Показать содержание
← Предыдущее
Следующее →
ГДЗ решение к заданию № 755 Алгебра и начала математического анализа 11 класс Колягин Ю.М. Просвещение 2018 Базовый и углубленный уровень ФГОС бесплатно на гдз.мода!