Классы
1 класс
2 класс
3 класс
4 класс
5 класс
6 класс
7 класс
8 класс
9 класс
10 класс
11 класс
Предметы
Алгебра
Английский язык
Белорусский язык
Биология
География
Геометрия
Естествознание
Информатика
Искусство
История
Кубановедение
Литература
Математика
Музыка
Немецкий язык
ОБЖ
Обществознание
Окружающий мир
Основы здоровья
Природоведение
Русский язык
Технология
Украинский язык
Физика
Французский язык
Химия
Человек и мир
Я исследую мир
ГДЗ
11 класс
Физика
задачник Кирик
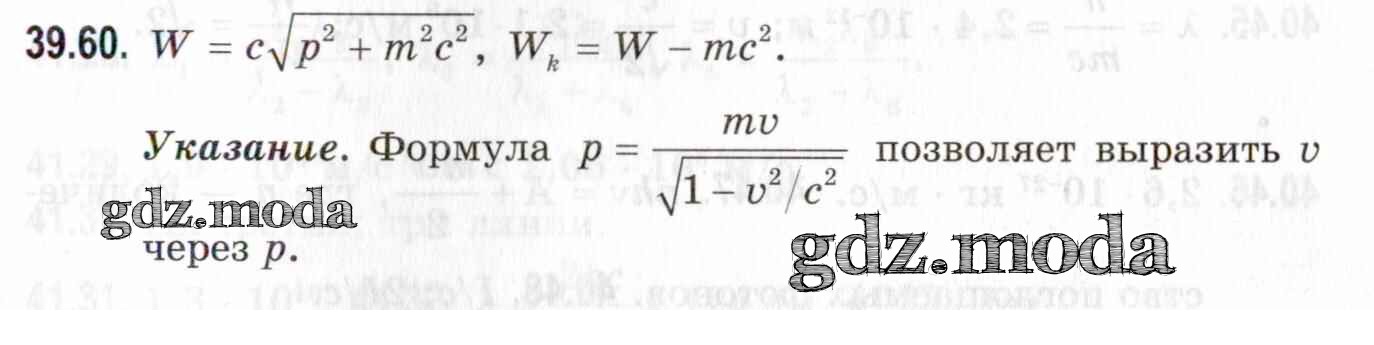
39.60
ОТВЕТ на задание № 39.60 Задачник по Физике 10-11 класс Кирик Профильный уровень
Показать содержание
← Предыдущее
Следующее →
Решебник
тема 39 / 39.60
Показать содержание
← Предыдущее
Следующее →
ГДЗ решение к заданию № 39.60 Задачи по физике для профильной школы 10-11 классы Кирик Л.А. Илекса 2020 Профильный уровень бесплатно на гдз.мода!