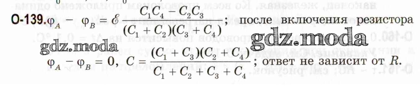
ОТВЕТ на задание № О-139 Задачник по Физике 10-11 класс Кирик Профильный уровень
Решебник
олимпиадная задача / О.139
ГДЗ решение к заданию № О-139 Задачи по физике для профильной школы 10-11 классы Кирик Л.А. Илекса 2020 Профильный уровень бесплатно на гдз.мода!