ОТВЕТ на задание № 475 Учебник по Геометрии 10-11 класс Атанасян Базовый и углубленный уровень

Решебник №1 к учебнику 2015

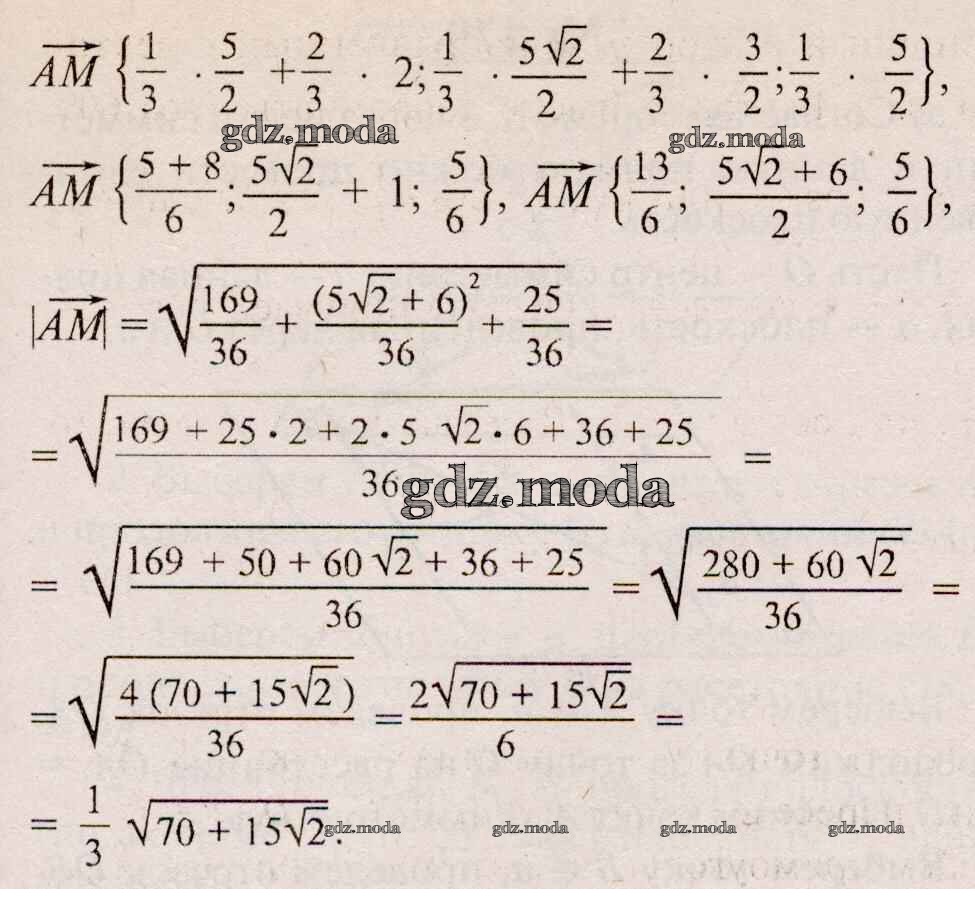
задача / 475

Решебник №2 к учебнику 2015

задача / 475

Решебник к учебнику 2023

задача / 475

ГДЗ решение к заданию № 475 Геометрия 10-11 класс Атанасян Просвещение, Просвещение 2015, 2023 Базовый и углубленный уровень ФГОС бесплатно на гдз.мода!