Классы
1 класс
2 класс
3 класс
4 класс
5 класс
6 класс
7 класс
8 класс
9 класс
10 класс
11 класс
Предметы
Алгебра
Английский язык
Белорусский язык
Биология
География
Геометрия
Естествознание
Информатика
Искусство
История
Кубановедение
Литература
Математика
Музыка
Немецкий язык
ОБЖ
Обществознание
Окружающий мир
Основы здоровья
Природоведение
Русский язык
Технология
Украинский язык
Физика
Французский язык
Химия
Человек и мир
Я исследую мир
ГДЗ
11 класс
Геометрия
рабочая тетрадь Бутузов
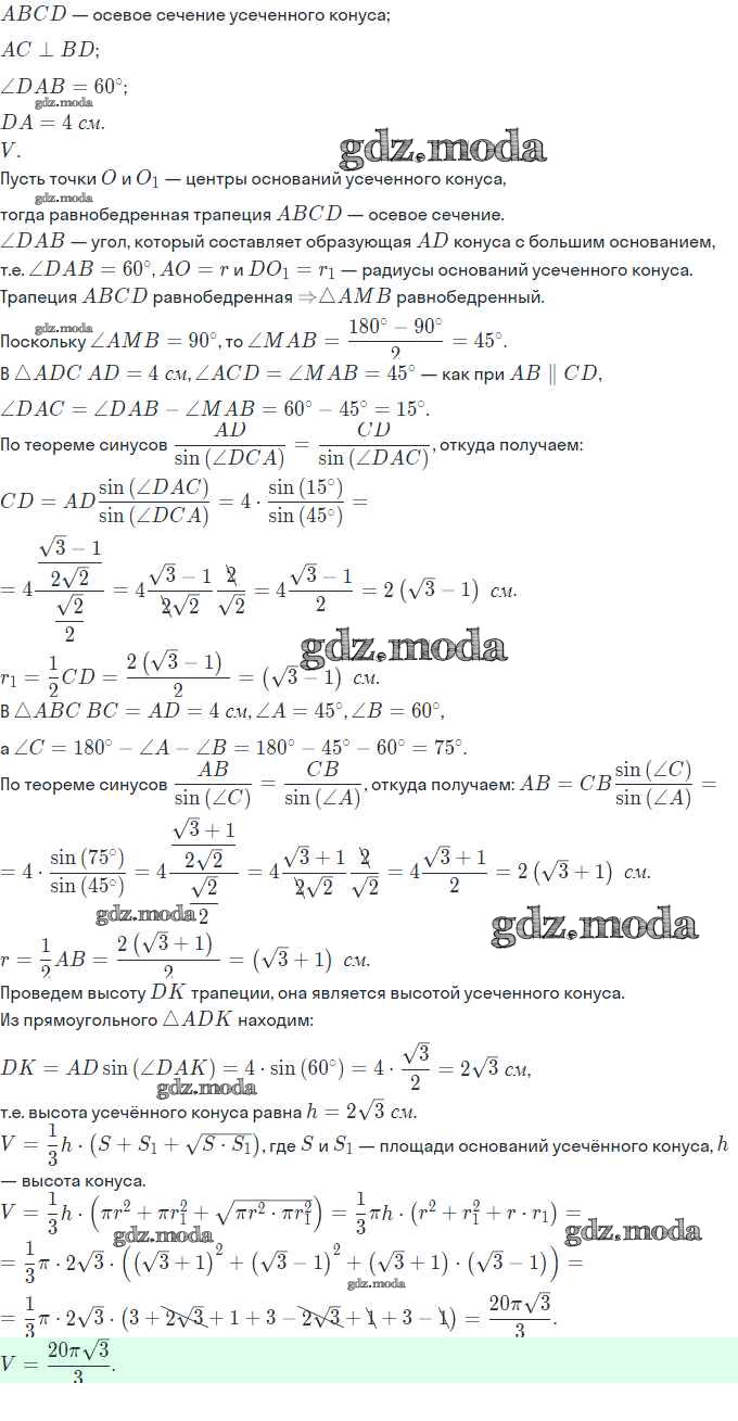
62
ОТВЕТ на задание № 62 Рабочая тетрадь по Геометрии 11 класс Бутузов МГУ - школе Базовый и углубленный уровень
Показать содержание
← Предыдущее
Следующее →
Решебник
задача / 62
Показать содержание
← Предыдущее
Следующее →
ГДЗ решение к заданию № 62 Геометрия 11 класс рабочая тетрадь Бутузов В.Ф. Просвещение 2021 Базовый и углубленный уровень бесплатно на гдз.мода!