Классы
1 класс
2 класс
3 класс
4 класс
5 класс
6 класс
7 класс
8 класс
9 класс
10 класс
11 класс
Предметы
Алгебра
Английский язык
Белорусский язык
Биология
География
Геометрия
Естествознание
Информатика
Искусство
История
Кубановедение
Литература
Математика
Музыка
Немецкий язык
ОБЖ
Обществознание
Окружающий мир
Основы здоровья
Природоведение
Русский язык
Технология
Украинский язык
Физика
Французский язык
Химия
Человек и мир
Я исследую мир
ГДЗ
11 класс
Геометрия
самостоятельные и контрольные работы Ершова
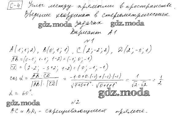
А1
ОТВЕТ на задание № А1 Самостоятельные и контрольные работы по Геометрии 11 класс Ершова
Показать содержание
← Предыдущее
Следующее →
Решебник
к учебнику Атанасяна 10-11 / самостоятельная работа / ср-4. вариант / А1
Показать содержание
← Предыдущее
Следующее →
ГДЗ решение к заданию № А1 Геометрия 11 класс самостоятельные и контрольные работы Ершова А.П. Илекса 2004 ФГОС бесплатно на гдз.мода!