Классы
1 класс
2 класс
3 класс
4 класс
5 класс
6 класс
7 класс
8 класс
9 класс
10 класс
11 класс
Предметы
Алгебра
Английский язык
Белорусский язык
Биология
География
Геометрия
Естествознание
Информатика
Искусство
История
Кубановедение
Литература
Математика
Музыка
Немецкий язык
ОБЖ
Обществознание
Окружающий мир
Основы здоровья
Природоведение
Русский язык
Технология
Украинский язык
Физика
Французский язык
Химия
Человек и мир
Я исследую мир
ГДЗ
11 класс
Химия
Габриелян рабочая тетрадь
8
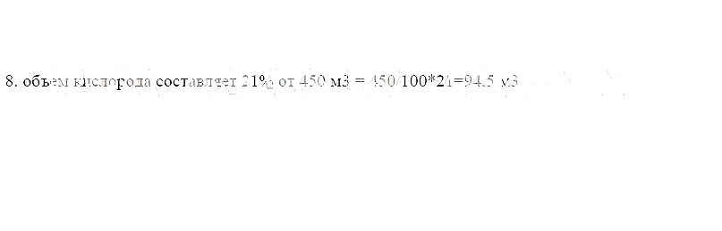
ОТВЕТ на задание № 8 Рабочая тетрадь по Химии 11 класс Габриелян Базовый уровень
Показать содержание
← Предыдущее
Следующее →
Решебник
Газообразное состояние вещества. Природные газообразные смеси - воздух и природный газ / 8
Показать содержание
← Предыдущее
Следующее →
ГДЗ решение к заданию № 8 Химия 11 класс рабочая тетрадь Габриелян Базовый уровень Дрофа 2014 Базовый уровень бесплатно на гдз.мода!