Классы
1 класс
2 класс
3 класс
4 класс
5 класс
6 класс
7 класс
8 класс
9 класс
10 класс
11 класс
Предметы
Алгебра
Английский язык
Белорусский язык
Биология
География
Геометрия
Естествознание
Информатика
Искусство
История
Кубановедение
Литература
Математика
Музыка
Немецкий язык
ОБЖ
Обществознание
Окружающий мир
Основы здоровья
Природоведение
Русский язык
Технология
Украинский язык
Физика
Французский язык
Химия
Человек и мир
Я исследую мир
ГДЗ
11 класс
Химия
Габриелян базовый уровень
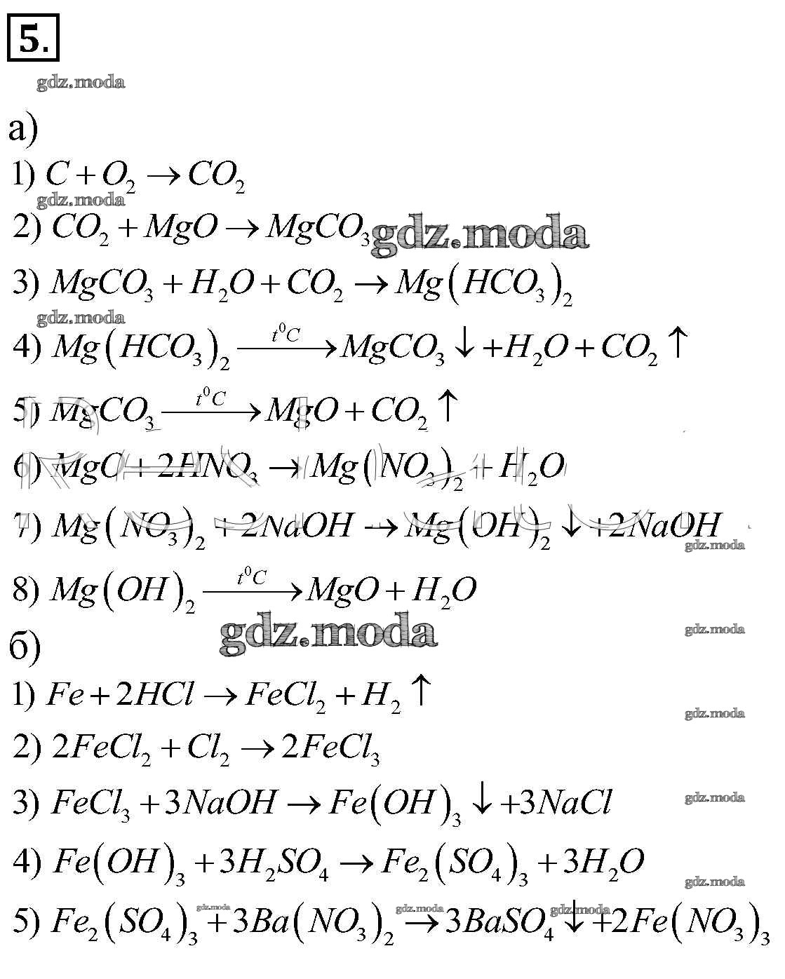
5
ОТВЕТ на задание № 5 Учебник по Химии 11 класс Габриелян Вертикаль Базовый уровень
Показать содержание
← Предыдущее
Следующее →
Решебник
§24 / 5
Показать содержание
← Предыдущее
Следующее →
Все ГДЗ по
Химии 11 класс Вертикаль
ГДЗ решение к заданию № 5 Хиимия 11 класс Габриелян О.С. Дрофа 2013 Базовый уровень ФГОС бесплатно на гдз.мода!