Классы
1 класс
2 класс
3 класс
4 класс
5 класс
6 класс
7 класс
8 класс
9 класс
10 класс
11 класс
Предметы
Алгебра
Английский язык
Белорусский язык
Биология
География
Геометрия
Естествознание
Информатика
Искусство
История
Кубановедение
Литература
Математика
Музыка
Немецкий язык
ОБЖ
Обществознание
Окружающий мир
Основы здоровья
Природоведение
Русский язык
Технология
Украинский язык
Физика
Французский язык
Химия
Человек и мир
Я исследую мир
ГДЗ
11 класс
Химия
сборник задач и упражнений Хомченко
41
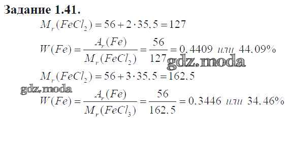
ОТВЕТ на задание № 41 Сборник задач и упражнений по Химии 8-11 класс Хомченко
Показать содержание
← Предыдущее
Следующее →
Решебник
глава 1 / 41
Показать содержание
← Предыдущее
Следующее →
ГДЗ решение к заданию № 41 Химия 8-11 классы сборник задач и упражнений Хомченко И.Г. Новая волна 2011 ФГОС бесплатно на гдз.мода!