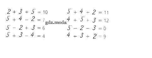
ОТВЕТ на задание № 9 Рабочая тетрадь по Математике 2 класс Волкова Школа России

Решебник 1

часть 1. страница / 9

Решебник 2

часть 1. страница / 9

Решебник 3

часть 1. страница / 9

Решебник

часть 1. страница / 9

Решебник 5

часть 1. страница / 9

Все ГДЗ по Математике 2 класс Школа России

ГДЗ решение к заданию № 9 Математика 2 класс рабочая тетрадь Волкова С.И. Просвещение 2016 Часть 1, Часть 2 ФГОС бесплатно на гдз.мода!