Классы
1 класс
2 класс
3 класс
4 класс
5 класс
6 класс
7 класс
8 класс
9 класс
10 класс
11 класс
Предметы
Алгебра
Английский язык
Белорусский язык
Биология
География
Геометрия
Естествознание
Информатика
Искусство
История
Кубановедение
Литература
Математика
Музыка
Немецкий язык
ОБЖ
Обществознание
Окружающий мир
Основы здоровья
Природоведение
Русский язык
Технология
Украинский язык
Физика
Французский язык
Химия
Человек и мир
Я исследую мир
ГДЗ
2 класс
Математика
самостоятельные и контрольные работы для начальной школы Петерсон
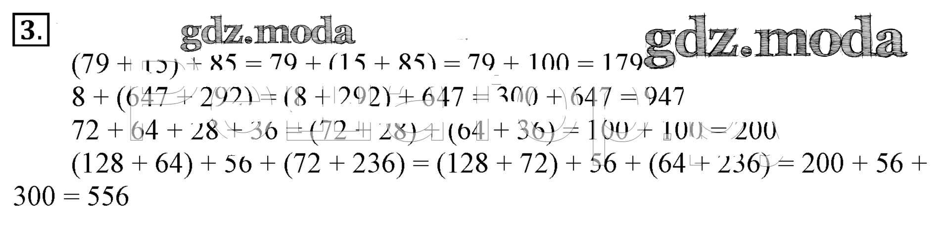
3
ОТВЕТ на задание № 3 Самостоятельные и контрольные работы по Математике 2 класс Петерсон
Показать содержание
← Предыдущее
Следующее →
Решебник 1
часть 1 / СР. уроки 13-14 (стр. 48–50) / 3
Показать содержание
← Предыдущее
Следующее →
ГДЗ решение к заданию № 3 Математика 2 класс Самостоятельные и контрольные работы для начальной школы Петерсон Л.Г. Ювента 2016 Часть 1, Часть 2 ФГОС бесплатно на гдз.мода!