Классы
1 класс
2 класс
3 класс
4 класс
5 класс
6 класс
7 класс
8 класс
9 класс
10 класс
11 класс
Предметы
Алгебра
Английский язык
Белорусский язык
Биология
География
Геометрия
Естествознание
Информатика
Искусство
История
Кубановедение
Литература
Математика
Музыка
Немецкий язык
ОБЖ
Обществознание
Окружающий мир
Основы здоровья
Природоведение
Русский язык
Технология
Украинский язык
Физика
Французский язык
Химия
Человек и мир
Я исследую мир
ГДЗ
2 класс
Математика
учебник Демидова
4
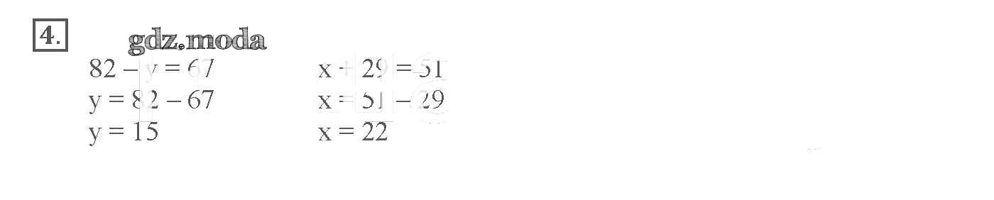
ОТВЕТ на задание № 4 Учебник по Математике 2 класс Демидова Школа 2100
Показать содержание
← Предыдущее
Следующее →
Решебник
часть 2 / Страница 36. Параграф 2. 30 / 4
Показать содержание
← Предыдущее
Следующее →
ГДЗ решение к заданию № 4 Математика 2 класс Демидова Т.Е. Баласс 2016 Часть 1, Часть 2, Часть 3 ФГОС бесплатно на гдз.мода!