ОТВЕТ на задание № 4 Учебник по Математике 2 класс Дорофеев Перспектива
Решебник
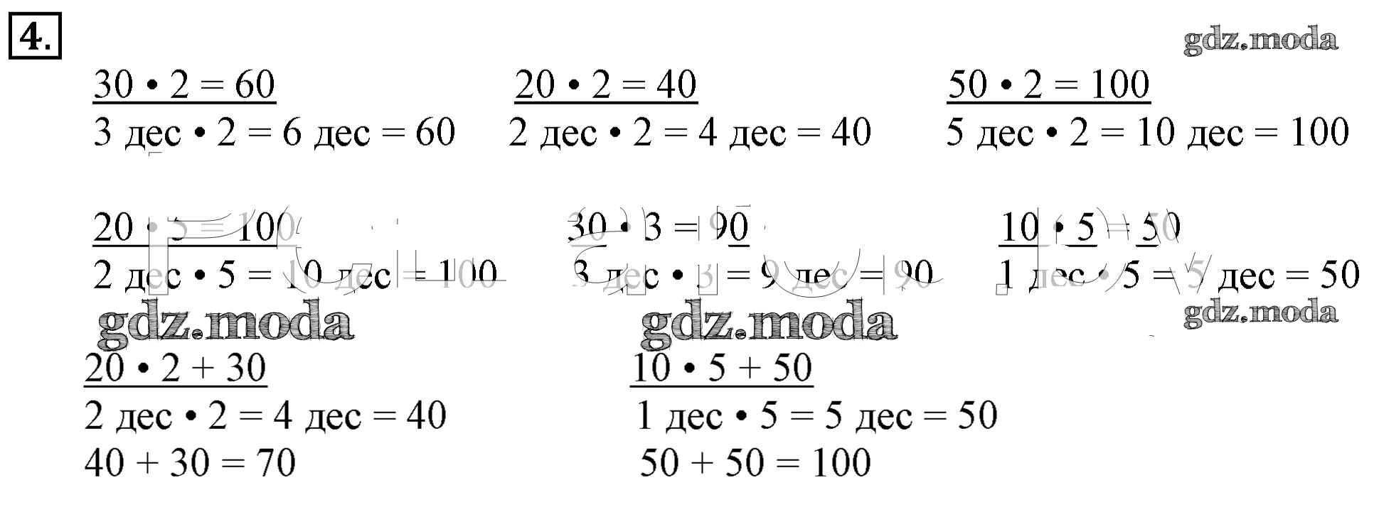
часть 2 / страницы 17-18 / 4
Решебник 2
часть 2 / страницы 17-18 / 4
Все ГДЗ по Математике 2 класс Перспектива