ОТВЕТ на задание № 51 Учебник по Математике 2 класс Моро Школа России
Решебник 1
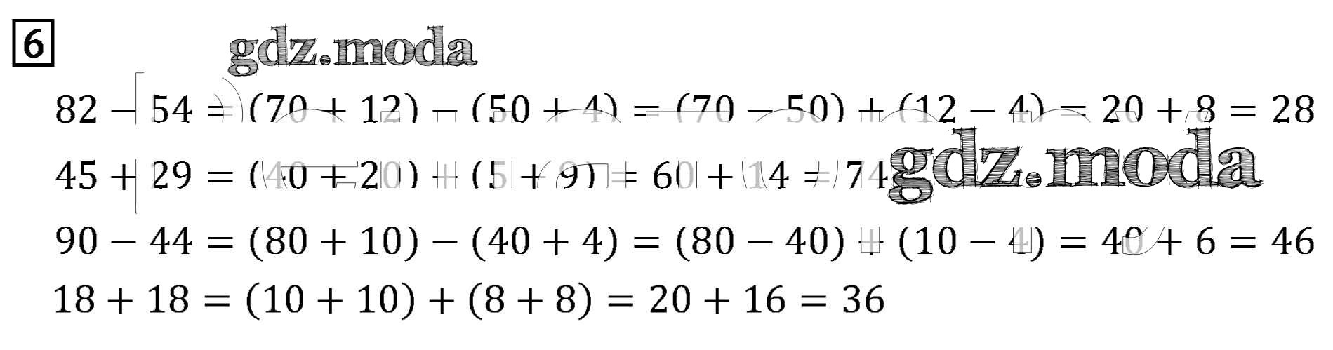
часть 2. страница / 51



Решебник 2
часть 2. страница / 51










Решебник 3
часть 2. страница / 51








Решебник 4
часть 2. страница / 51








Все ГДЗ по Математике 2 класс Школа России