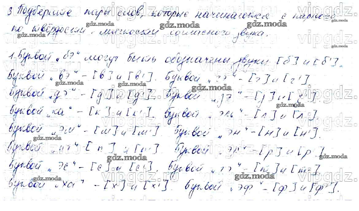
ОТВЕТ на задание № 193 Учебник по Русскому языку 2 класс Канакина Школа России

Решебник №1

часть №1 (упражнение) / 193

Решебник №2

часть №1 (упражнение) / 193

Решебник №3

часть №1 (упражнение) / 193

Решебник №4

часть №1 (упражнение) / 193

Решебник №5

часть №1 (упражнение) / 193

Решебник №6

часть №1 (упражнение) / 193

Решебник №7

часть №1 (упражнение) / 193

Решебник №8

часть №1 (упражнение) / 193

Все ГДЗ по Русскому языку 2 класс Школа России

ГДЗ решение к заданию № 193 Русский язык 2 класс Канакина В.П. Просвещение 2013 Часть 1, Часть 2 ФГОС бесплатно на гдз.мода!