ОТВЕТ на задание № 2 Учебник по Математике 3 класс Башмаков Планета знаний
Решебник 1
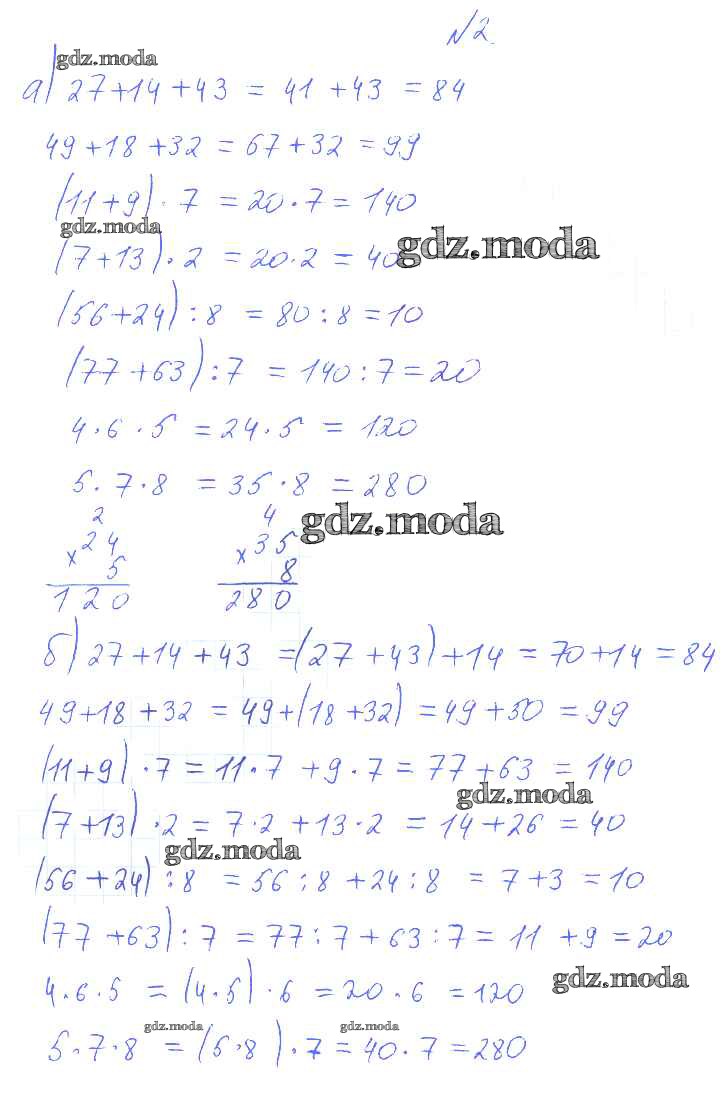
часть 1 / страница 90-91 / 2

Решебник 2
часть 1 / страница 90-91 / 2

Все ГДЗ по Математике 3 класс Планета знаний
Все ГДЗ по Математике 3 класс Планета знаний