ОТВЕТ на задание № 4 Учебник по Математике 3 класс Башмаков Планета знаний
Решебник 1
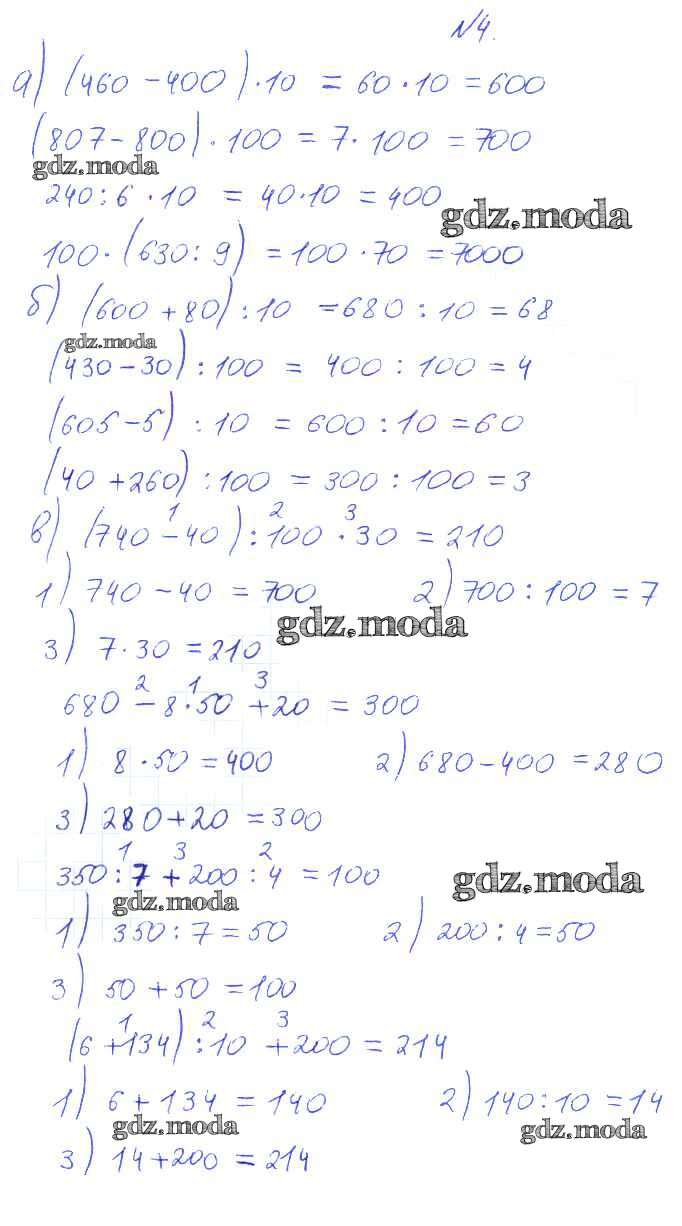
часть 1 / страница 102-103 / 4

Решебник 2
часть 1 / страница 102-103 / 4

Все ГДЗ по Математике 3 класс Планета знаний
Все ГДЗ по Математике 3 класс Планета знаний