ОТВЕТ на задание № 8 Учебник по Математике 3 класс Башмаков Планета знаний
Решебник 1
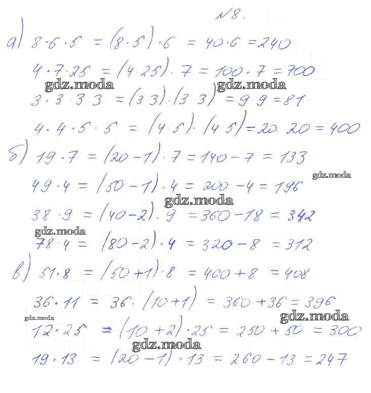
часть 2 / страница 68-69 / 8

Решебник 2
часть 2 / страница 68-69 / 8

Все ГДЗ по Математике 3 класс Планета знаний
Все ГДЗ по Математике 3 класс Планета знаний