ОТВЕТ на задание № 6 Учебник по Математике 3 класс Башмаков Планета знаний
Решебник 1
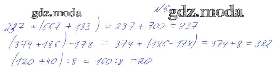
часть 2 / страница 136-137 / 6

Решебник 2
часть 2 / страница 136-137 / 6

Все ГДЗ по Математике 3 класс Планета знаний
Все ГДЗ по Математике 3 класс Планета знаний