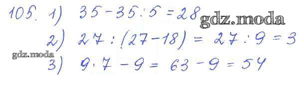
ОТВЕТ на задание № 105 Рабочая тетрадь по Математике 3 класс Моро Школа России
Решебник 1
часть 1 / стр. 8-76 (умножение и деление) / 105

Решебник 2
часть 1 / стр. 8-76 (умножение и деление) / 105

Решебник 3
часть 1 / стр. 8-76 (умножение и деление) / 105

Решебник 4
часть 1 / стр. 8-76 (умножение и деление) / 105

Решебник 5
часть 1 / стр. 8-76 (умножение и деление) / 105

Решебник 6
часть 1 / стр. 8-76 (умножение и деление) / 105

Решебник 7
часть 1 / стр. 8-76 (умножение и деление) / 105


Все ГДЗ по Математике 3 класс Школа России