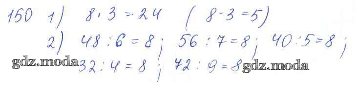
ОТВЕТ на задание № 150 Рабочая тетрадь по Математике 3 класс Моро Школа России
Решебник 1
часть 1 / стр. 8-76 (умножение и деление) / 150

Решебник 2
часть 1 / стр. 8-76 (умножение и деление) / 150

Решебник 3
часть 1 / стр. 8-76 (умножение и деление) / 150

Решебник 4
часть 1 / стр. 8-76 (умножение и деление) / 150

Решебник 5
часть 1 / стр. 8-76 (умножение и деление) / 150

Решебник 6
часть 1 / стр. 8-76 (умножение и деление) / 150

Решебник 7
часть 1 / стр. 8-76 (умножение и деление) / 150

Все ГДЗ по Математике 3 класс Школа России