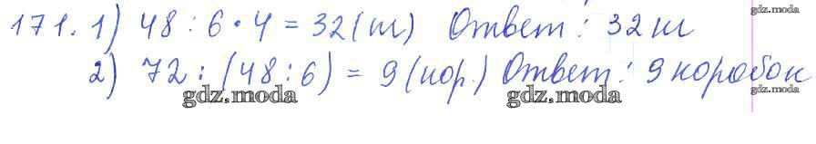
ОТВЕТ на задание № 171 Рабочая тетрадь по Математике 3 класс Моро Школа России
Решебник 1
часть 1 / стр. 8-76 (умножение и деление) / 171

Решебник 2
часть 1 / стр. 8-76 (умножение и деление) / 171

Решебник 3
часть 1 / стр. 8-76 (умножение и деление) / 171

Решебник 4
часть 1 / стр. 8-76 (умножение и деление) / 171

Решебник 5
часть 1 / стр. 8-76 (умножение и деление) / 171


Решебник 6
часть 1 / стр. 8-76 (умножение и деление) / 171

Решебник 7
часть 1 / стр. 8-76 (умножение и деление) / 171

Все ГДЗ по Математике 3 класс Школа России