ОТВЕТ на задание № 25 Рабочая тетрадь по Математике 3 класс Моро Школа России
Решебник 1
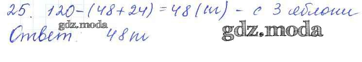
часть 2 / стр. 47-58 (сложение и вычитание) / 25

Решебник 2
часть 2 / стр. 47-58 (сложение и вычитание) / 25

Решебник 3
часть 2 / стр. 47-58 (сложение и вычитание) / 25

Решебник 4
часть 2 / стр. 47-58 (сложение и вычитание) / 25

Решебник 5
часть 2 / стр. 47-58 (сложение и вычитание) / 25

Решебник 6
часть 2 / стр. 47-58 (сложение и вычитание) / 25

Решебник 7
часть 2 / стр. 47-58 (сложение и вычитание) / 25

Все ГДЗ по Математике 3 класс Школа России