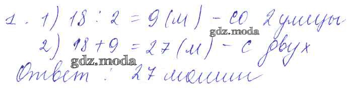
ОТВЕТ на задание № 1 Учебник по Математике 3 класс Моро Школа России
Решебник 2
часть 1 / страница 104-108 / 1

Решебник 4
часть 1 / страница 104-108 / 1

Решебник 5
часть 1 / страница 104-108 / 1

Решебник 6
часть 1 / страница 104-108 / 1

Решебник 7
часть 1 / страница 104-108 / 1

Решебник 8
часть 1 / страница 104-108 / 1

Все ГДЗ по Математике 3 класс Школа России